高中物理必备公式+知识点结构图
1、匀变速直线运动



2、平抛运动

3、圆周运动

4、天体运动

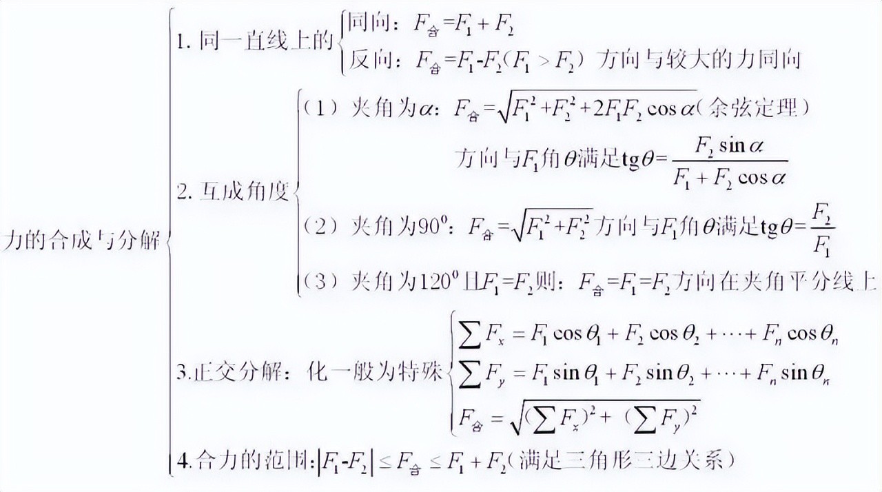
5、力



6、常见力做功的计算公式

7、功能关系与能量守恒

8、带电粒子在电场中运动

9、带电粒子在磁场中运动
高中物理15张精华知识结构图
匀变速直线运动

牛顿运动定律

动量守恒定律

功和能

机械波

机械振动

曲线运动

物体

电荷

气体

重力场电场

电动势

电流

磁通量

电磁感应

高中物理必备公式+知识点结构图
1、匀变速直线运动



2、平抛运动

3、圆周运动

4、天体运动

5、力



6、常见力做功的计算公式

7、功能关系与能量守恒

8、带电粒子在电场中运动

9、带电粒子在磁场中运动
高中物理15张精华知识结构图
匀变速直线运动

牛顿运动定律

动量守恒定律

功和能

机械波

机械振动

曲线运动

物体

电荷

气体

重力场电场

电动势

电流

磁通量

电磁感应

电竞最长的臭水沟:德云色正式解散 2024 年 9 月 1 日,德云色正式宣布解散,这个消息如同投入平静湖面的巨石,在电竞圈掀起了巨大的波澜。 德云色由孙亚龙(笑笑)和李浩宇(西卡...
藏族清明节的习俗 在中国的传统节日中,清明节是一个非常重要的节日,它不仅是一个缅怀先人的节日,还是一个与自然和谐相处的节日。在中国的不同地区,人们对清明节的庆祝方式...
【假疫苗曝光!】内蒙古护士用盐水冒充宫颈癌疫苗,网友震惊! 欢迎大家来到苏苏向向的故事汇频道,请帅气与貌美的帅哥美女们动动你们的小拇指点赞、评论、转发,谢谢大家!小...
甄宓容貌绝美,为何被曹丕赐死,还被“以发遮面,用糠塞口”? 甄宓容貌绝美,为何被曹丕赐死,还被“以发遮面,用糠塞口”? 众所周知,文昭皇后甄宓被誉为三国时期颜值巅峰...
杨浦商业新地标+1!“云际π”蓄力启航 随着“杨浦第一高楼” AXIOM云际尚浦 A座竣工后 近日,其商业配套板块 “云际π” 也有了完整规划 “云际π” 融合前沿的商业理念 开创性的建...
生娃就发钱?杭州新出台的生育补贴政策,最高可获25000元补助 最近,杭州市政府推出了一项新的生育补贴政策,引发了广泛关注。该政策分为孕产补助和育儿补助两种,为生育二胎和...
男篮42分狂胜日本,3大辽篮元素主导胜利,郭士强剑指2028奥运会 #头条创作挑战赛# 点击关注,每天了解中超山东泰山队、CBA辽篮和山东男篮最新消息,祝点击关注的粉丝朋友们,2025发...
美国发现僵尸鹿病毒?釜山行就是从一头鹿开始的,评论区都在整活 在阅读此文之前,辛苦您点击一下“关注”,既方便您进行讨论和分享,又能给您带来不一样的参与感,感谢您的支...
林依轮为儿子庆生,父子俩如同兄弟般撞脸,家庭幸福画面太美! 描述 林依轮,这位风靡一时的偶像男星,近日在社交媒体上公开为自家小公子庆祝21岁生日。他与儿子一同发布的照片...
花呗怎么提高额度? 花呗是蚂蚁集团旗下支付宝产品提供的一款具备信用卡“消费贷”功能的产品,很多朋友想要提高花呗的额度,但又不知道该怎么做。本期文章就教教大家如何提高...
关于“高考移民”,你了解多少?不要轻易“移民” 什么叫做高考移民呢? 高考移民是一个很复杂的社会现象,有里里外外各种原因。 从某种角度来说,这是高考全民化的表现,我国...
66岁陈升被传离世,张艾嘉、刘若英奔赴现场,好友回应身体无大碍 近日有媒体报道歌手陈升不幸去世,刘若英、张艾嘉已经奔赴现场,此消息一出迅速引发了网友们的热议。 歌手陈升...
# 诚邀您为爆火的一汽丰田智能电混双擎打 CALL,你怎么看? #丰田混动技术有什么不一样# 在当今汽车行业的快速发展中,新能源技术如雨后春笋般涌现。而一汽丰田智能电混双擎,宛...
为什么有马甲线的女生这么有吸引力,眼见为实 为什么有马甲线的女生这么有吸引力,眼见为实! 有马甲线的女生有多美。 1、 2、 3、 4、 5、 6、 7、 8、 9、 10、 11、 12、 13、 14、...
汪峰童年大曝光,从小练琴很努力,网友:不然怎会有怒放的生命?...
借呗的利息原来这么高? 从17年接触到借呗开始,就一直用借呗借钱,开始只是应急使用一下,后面就开始经常在上面借钱周转,从最开始的几千额度,到现在的79000额度。使用了好多...
沿着高速看中国·条条大路见美好驾车从徐闻港坐轮渡去海南 跨越琼州海峡只需要 一小时 视频加载中... 沈海高速的最大特色,就是全程要经过两次轮渡。在广东湛江,徐闻港与12海里...
小威对决莎娃,谁能笑到最后? 随着小威与莎娃各自战胜强大的对手,让球迷期待已久的“威莎大战”终于要上演了。莎拉波娃在上一轮比赛中出人意料地仅耗时一个小时就淘汰了夺冠...
为鸽主赢了1860W的奖金的鸽子,再度拍出400万 搜鸽网为鸽友们带来养鸽赛鸽小常识以及鸽界趣事,关注搜鸽网,为您带来实用养鸽小文章,大家共同探讨,共同进步,共同学习,如有问...
售价上涨3000元!本田CBR650R自动挡上市,搭载EClutch电子离合器 本田在摩托车领域一直备受摩友追捧,当然这些不是没有原因的,本田不管是从创新、品控、还是质量都是一等一的存在。...